State test scores: Federal Way is among 212 school districts falling short in Washington; No Child Left Behind called ‘punitive’
Published 3:49 pm Thursday, September 2, 2010
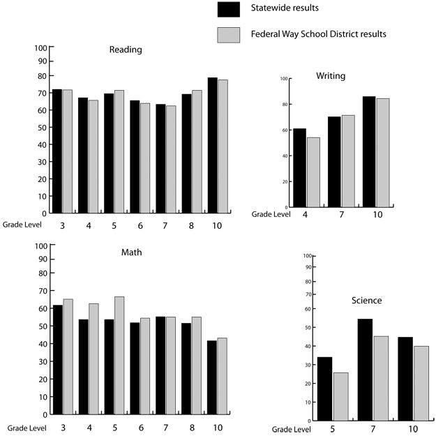
It’s a mixed bag of results for the Federal Way School District’s latest state test scores.
Federal Way is in the same predicament as much of Washington state: Test results are not high enough to pass the threshold of Adequate Yearly Progress (AYP), a measurement for achievement defined by the federal No Child Left Behind Act.
Statewide, 968 schools did not make AYP this year, and 212 districts did not make AYP.
“I would recommend a complete overhaul of AYP,” State Superintendent Randy Dorn said in a press conference Tuesday. “I’ve always said the intent of No Child Left Behind was good, but it’s a punitive system. Our state has high standards, and we do well on national testing, but by 2014 we will have every school in the state not making AYP. That’s completely unrealistic.”
The results stem from spring 2010, when the High School Proficiency Exam (HSPE) and the Measurements of Student Progress (MSP) replaced the controversial Washington State Assessment of Student Learning, also known as the WASL.
Several schools in Federal Way did not make AYP again this year: Decatur, Federal Way, Todd Beamer and Thomas Jefferson high schools; Illahee, Kilo, Lakota, Sacajawea, Saghalie, Totem and Sequoyah middle schools; Wildwood Elementary, the Internet Academy and the TAF Academy did not make AYP this year. Illahee reached AYP in 2009.
In some cases, the schools would be subject to sanctions. Sanctions are what usually make the news — in some cases, that means firing all teachers or replacing the principal.
However, this only applies to schools that receive Title 1 federal funds. In Federal Way, as it has been for several years, only the lower income elementary schools are funded with Title 1 funds.
That is where Wildwood Elementary comes in. Wildwood is a Title 1 funded school that did not make AYP again this year. As part of the first step of sanctions, parents can choose to have their students attend another school. In Wildwood’s case, the school choices are Camelot and Adelaide elementary schools. The costs for transporting the students to the different schools will fall on the school district.
Parents at Wildwood have until Sept. 16 to use the public choice option.
“Because we missed the mark, the entire school is in improvement,” said Sally McLean, Federal Way’s Assistant Superintendent of Business Services.
Part of the reason for the low scores, according to school district officials, is the length of the test. The district has already filed a series of complaints to state superintendent’s office (OSPI), Director of Assessment Dave Davis said.
“We’ve heard it was not an achievement test, but an endurance test,” McLean said.
Federal Way wasn’t the only district concerned about the length of the test. Dorn said that after hearing from school districts around the state, the plan is to shorten the test for next year.
The future
Although this was the first year for HSPE and MSP, there are already changes planned for the next round. The tests will both be shortened next year. There will no longer be a math section of the HSPE; students will instead take an End of Course state exam. However, the school districts haven’t seen or heard much about the new test.
“We haven’t seen a test, we haven’t seen a pilot of a test,” said Josh Garcia, Federal Way’s Assistant Superintendent of Teaching and Learning.
Regardless of what is on the test, students will have to start taking it even more seriously. The class of 2013 will be required to pass all state exams — reading, writing, math and science — to be eligible for a diploma.
AYP and No Child Left Behind
Adequate Yearly Progress (AYP) is one of the byproducts of No Child Left Behind, the latest in a series of education reforms that date back to the Elementary and Secondary Education Act, which was passed in 1965.
As part of No Child Left Behind, students and schools are expected to measure at 100 percent AYP by 2014. Each state has created its own map for the route to perfection.
Students must meet the percentage point for the given year to make AYP. Schools are measured by whether students that fit into particular categories reach the percentage mark. These categories are called “cells” and include reading, writing, math, science and participation. The cells also consist of what category a student fits in, including special education, low income and ethnic groups.
To pass AYP, a school must pass all of the cells.
A district has to pass 111 cells overall to meet AYP.
A school or district that fails to make AYP in the same cells for two consecutive years will go into “In Improvement” status.
Part of the reason why so many schools have problems reaching the mark is that AYP counts every student — including special education and English as a second language students. Any student who has lived in the country for more than 13 months or has a learning disability must take the same test as mainstream students.
Schools can also make AYP through Safe Harbor, where a school makes at least a 10 percent gain in a cell it failed the year before. In this case, a school may not have yet made the mark set forth by the state, but is showing significant progress, and thus AYP is considered met.
Several Federal Way schools are also close to making AYP. Illahee Middle School missed just one cell in the 37 required cells for schools. The district is appealing that score, so there is a possibility that Illahee will be taken off the “did not make AYP” list this year.
The district has already appealed 30 cells in six schools along with nine more schools results.
The district should know the final results by mid-October. So far, the district has won appeals between 60-70 percent of the time, Davis said.
